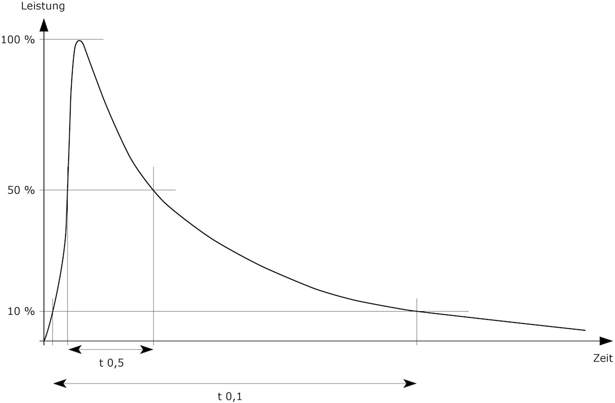
Was bedeuten t0,5 und t0,1 bei Angaben der Blitzdauer?
Wenn in Datenblättern von Studioblitzanlagen die kürzestmögliche Blitzdauer angegeben ist, steht neben der Zeitangabe üblicherweise noch ein t-Index, entweder t0,5 oder t0,1. Präzise Angaben der Blitzdauer stoßen auf die Schwierigkeit, dass sich das Blitzlicht nicht einfach an- und ausschalten lässt: Wenn eine Blitzröhre zündet, nimmt ihre Helligkeit zunächst schnell bis zu ihrem Maximum zu, um dann langsam wieder auf Null abzufallen. Die von Nullpunkt zu Nullpunkt gemessene Blitzdauer wäre recht lang, aber nicht realistisch, denn das allerletzte Verglimmen der Blitzröhre spielt für die Belichtung keine große Rolle mehr. Deshalb definiert man einen größeren Wert für den Beginn beziehungsweise das Ende der Blitzabgabe, und zwar als Bruchteil der maximalen Helligkeit – das ist der t-Index.

Bei t0,5 beginnt die Zeitmessung, sobald die halbe Maximalhelligkeit erreicht ist, und endet, wenn sie nach dem Maximum wieder auf die Hälfte abgefallen ist. Diese Messung als t0,5 ist weit verbreitet und auch so standardisiert; sie führt allerdings zu irreführenden Angaben. Bei 50 Prozent der Helligkeit ist das Blitzlicht erst um eine Blendenstufe schwächer und das Restlicht der verglimmenden Blitzröhre führt zu einer effektiv längeren Belichtungszeit, als die technischen Daten vermuten ließen. Trotz einer scheinbar kurzen Blitzdauer, die für ein Einfrieren etwa von Wassertropfen ausreichen sollte, zeigen sich auch immer noch Bewegungsspuren im Bild. Verlässlicher ist die Angabe als t0,1 – damit wird alles Blitzlicht berücksichtigt, das wenigstens ein Zehntel der vollen Helligkeit erreicht, was einem Abfall um 3 1/3 Blendenstufen entspricht. Leider lassen sich die Werte für t0,5 und t0,1 nicht exakt ineinander umrechnen, aber wenn die technischen Daten nur die Zeit als t0,5 anführen, können Sie diesen Wert für eine grobe Abschätzung des t0,1-Werts mit 3 multiplizieren.
In den Datenblättern von Systemblitzgeräten findet man diese Indizes übrigens nicht. Die Leistung solcher Blitzgeräte wird zur Belichtungssteuerung reguliert, indem die Entladung des Kondensators mit einem elektronischen Schalter gestoppt wird, sobald der Sensor genug Licht gesammelt hat. Das bedeutet, dass man ihr Blitzlicht sehr wohl an- und ausschalten kann, und auf diese Weise lassen sich fast beliebig kurze Blitzzeiten sehr präzise realisieren.
